NCERT Solutions for Class 7 Mathematics Chapter 9 - Rational Numbers

Question 1:

Answer:

Question 2:

List ten rational numbers.

Answer:

Question 3:

Mention five rational numbers each of whose
Numerator is a negative integer and denominator is a positive integer.

Answer:

Question 4:

Mention five rational numbers each of whose
Numerator is a positive integer and denominator is a negative integer.

Answer:

Question 5:

Mention five rational numbers each of whose
Numerator and denominator both are negative integers.

Answer:

Question 6:

Mention five rational numbers each of whose
Numerator and denominator both are positive integers.

Answer:

Question 7:

Fill in the boxes:

Answer:

Question 8:

Fill in the boxes:

Answer:

Question 9:

Is 5 a positive rational number?

Answer:

Question 10:

List five positive rational numbers.

Answer:

Question 11:

Is –8 a negative rational number?

Answer:

Question 12:

List five negative rational numbers.

Answer:

Question 13:

Which of these are negative rational numbers?

Answer:

Question 14:

Find the standard form of

Answer:

Question 15:

Find the standard form of

Answer:

Question 16:

Answer:

Question 17:

List five rational numbers between:
–1 and 0

Answer:

Question 18:

List five rational numbers between:
–2 and –1

Answer:

Question 19:

List five rational numbers between:

Answer:

First we find equivalent rational numbers having same denominator.

Question 20:

List five rational numbers between:

Answer:

Question 21:

Write four more rational numbers in each of the following patterns:

Answer:

Question 22:

Write four more rational numbers in each of the following patterns:

Answer:

Question 23:

Write four more rational numbers in each of the following patterns:

Answer:

Question 24:

Write four more rational numbers in each of the following patterns:

Answer:

Question 25:

Give four rational numbers equivalent to:

Answer:

As we know that for a given rational number; equivalent rational numbers can be obtained by multiplying the numerator and denominator of given rational number by the same non-zero integer.
Therefore in

Question 26:

Give four rational numbers equivalent to:

Answer:

Question 27:

Give four rational numbers equivalent to:

Answer:

Question 28:

Draw the number line and represent the following rational numbers on it:

Answer:

Question 29:

Draw the number line and represent the following rational numbers on it:

Answer:

Question 30:

Draw the number line and represent the following rational numbers on it:

Answer:

Question 31:

Draw the number line and represent the following rational numbers on it:

Answer:

Question 32:

The points P, Q, R, S, T, U, A and B on the number line are such that, TR = RS = SU and AP = PQ = QB. Name the rational numbers represented by P, Q, R and S.

Answer:

Question 33:

Which of the following pairs represent the same rational number?

Answer:

Question 34:

Which of the following pairs represent the same rational number?

Answer:

Question 35:

Which of the following pairs represent the same rational number?

Answer:

Question 36:

Which of the following pairs represent the same rational number?

Answer:

Question 37:

Which of the following pairs represent the same rational number?

Answer:

Question 38:

Which of the following pairs represent the same rational number?

Answer:

Question 39:

Which of the following pairs represent the same rational number?

Answer:

Question 40:

Rewrite the following rational numbers in the simplest form:

Answer:

Question 41:

Rewrite the following rational numbers in the simplest form:

Answer:

Question 42:

Rewrite the following rational numbers in the simplest form:

Answer:

Question 43:

Rewrite the following rational numbers in the simplest form:

Answer:

Question 44:

Fill in the boxes with the correct symbol out of >, < and=.

Answer:

<< /p>

Question 45:

Fill in the boxes with the correct symbol out of >, < and=.

Answer:

<< /p>

Question 46:

Fill in the boxes with the correct symbol out of >, < and=.

Answer:

=

Question 47:

Fill in the boxes with the correct symbol out of >, < and=.

Answer:

>

Question 48:

Fill in the boxes with the correct symbol out of >, < and=.

Answer:

<< /p>

Question 49:

Fill in the boxes with the correct symbol out of >, < and=.

Answer:

=

Question 50:

Fill in the boxes with the correct symbol out of >, < and=.

Answer:

>

Question 51:

Write the following rational numbers in ascending order:

Answer:

Question 52:

Write the following rational numbers in ascending order:

Answer:

Question 53:

Answer:

Question 54:

Find:

Answer:

Question 55:

Find:

Answer:

Question 56:

Find:

Answer:

LCM of 7 and 3 is 21.
So, we will make equivalent rational number of each of the given rational number with denominator 21.

Question 57:

Find:

Answer:

Question 58:

Answer:

The additive inserse of

Question 59:

Find:

Answer:

Question 60:

Find:

Answer:

Question 61:

What will be

Answer:

Question 62:

What will be

Answer:

Question 63:

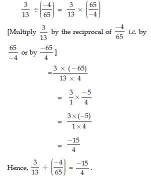
Find:

Answer:

Question 64:

Find:

Answer:

Question 65:

What will be the reciprocal of

Answer:

Question 66:

What will be the reciprocal of

Answer:

Question 67:

Find:

Answer:

Question 68:

Find:

Answer:

Question 69:

Find the sum:

Answer:

Question 70:

Find the sum:

Answer:

Question 71:

Find the sum:

Answer:

Question 72:

Find the sum:

Answer:

Question 73:

Find the sum:

Answer:

Question 74:

Find the sum:

Answer:

Question 75:

Find the sum:

Answer:

Question 76:

Find

Answer:

Question 77:

Find

Answer:

Question 78:

Find

Answer:

Question 79:

Find

Answer:

Question 80:

Find

Answer:

Question 81:

Find the product:

Answer:

Question 82:

Find the product:

Answer:

Question 83:

Find the product:

Answer:

Question 84:

Find the product:

Answer:

Question 85:

Find the product:

Answer:

Question 86:

Find the product:

Answer:

Question 87:

Find the value of:

Answer:

Question 88:

Find the value of:

Answer:

Question 89:

Find the value of:

Answer:

Question 90:

Find the value of:

Answer:

Question 91:

Find the value of:

Answer:

Question 92:

Find the value of:

Answer:

Question 93:

Find the value of:

Answer: